14. ΣAi²=0
A1=A2=A3...=An=0
15. aⁿ-bⁿ
=(a-b)(aⁿ⁻¹+aⁿ⁻²b+aⁿ⁻³b²...+bⁿ⁻¹)
n belongs to natural number.
16. aⁿ+bⁿ
=(a+b)(aⁿ⁻¹ - aⁿ⁻²b + aⁿ⁻³b² - aⁿ⁻⁴b³...+bⁿ⁻¹)
For n belongs to odd numbers.
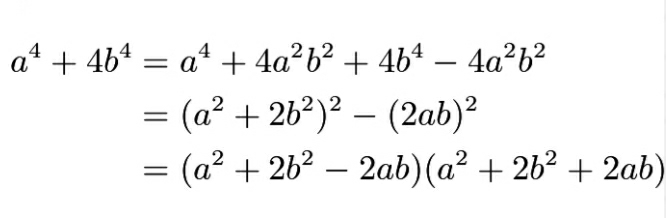
Sophie Germain Identity
14. ΣAi²=0
A1=A2=A3...=An=0
15. aⁿ-bⁿ
=(a-b)(aⁿ⁻¹+aⁿ⁻²b+aⁿ⁻³b²...+bⁿ⁻¹)
n belongs to natural number.
16. aⁿ+bⁿ
=(a+b)(aⁿ⁻¹ - aⁿ⁻²b + aⁿ⁻³b² - aⁿ⁻⁴b³...+bⁿ⁻¹)
For n belongs to odd numbers.
Sophie Germain Identity
350+
HAPPY LEARNERS
3
COUNTRIES COVERED
No comments:
Post a Comment
For any queries drop a mail at: teammathfreaks@gmail.com